Aufgabe 18
A 1: Aluminium, ein wichtiges Gebrauchsmetall
Vorgabe
Aluminium ist ein sehr bedeutsames Gebrauchsmetall mit
vielfältigen Anwendungsbereichen. Es wird durch die
sogenannte Schmelzflusselektrolyse aus Aluminiumoxid, das
aus dem Gestein Bauxit isoliert wird, gewonnen. Aufgrund der
hohen Schmelztemperatur von 2045 °C setzt man kein reines
Aluminiumoxid, sondern ein Gemisch aus Aluminiumoxid und
Kryolith mit einer Schmelztemperatur von 950 °C ein. Das
Gemisch muss nur zu Beginn der Elektrolyse durch Wärmezufuhr
geschmolzen werden, danach entwickelt sich durch den
Stromfluss ausreichend Wärme, um die Elektrolytschmelze mit
dem kontinuierlich zugeführten Rohstoff flüssig zu halten.
Die Elektrolyseapparatur besteht aus einer Wanne, die die
Schmelze enthält. Der Boden dieser Wanne ist mit Graphit,
der als Kathode dient, ausgelegt. Weitere Graphitelektroden
ragen von oben in die Schmelze. Diese oberen Elektroden
werden während der Elektrolysenach und nach abgebaut, müssen
also immer wieder nachgeführt werden. In einer
durchschnittlichen Schmelzflusselektrolyseanlage wird mit
einer Spannung von U = 5 V und einer Stromstärke von I =
150000 A elektrolysiert. Dabei können in einer solchen
Anlage ca. 88 % des eingesetzten Stroms für den
Elektrolyseprozess genutzt werden. Durch die Elektrolyse
entstehen elementares, sehr reines Aluminium und unter
anderem Kohlenstoffmonoxid und Kohlenstoffdioxid als Abgase.
Aufgrund seiner höheren Dichte sammelt sich das flüssige
Aluminium am Boden des Elektrolysebeckens und wird durch die
darüberliegende Elektrolytschmelze vor der ansonsten sofort
eintretenden Oxidation geschützt.
Die bei der
Weiterverarbeitung des Aluminiums einsetzende Oxidation
dagegen ist erwünscht, da die Werkstücke durch die sich
bildende sehr dichte und sehr dünne Oxidschicht vor weiterer
Oxidation geschützt sind.
Eine der vielfältigen
Verwendungsformen von Aluminium ist beispielsweise die im
Haushalt gebräuchliche Aluminiumfolie. Aluminiumfolien sind
gas- und luftdicht sowie weich und biegsam. Sie eignen sich
besonders als Verpackungsmaterial, z. B. für Lebensmittel.
Auf der Verpackung handelsüblicher Alufolien findet sich
folgender Text:
„Wichtiger Hinweis: Aluminiumfolie nicht
zum Abdecken von feuchten säure- oder salzhaltigen
Lebensmitteln auf Servierplatten oder Schalen aus Metall
verwenden. Folien können sich infolge
Lokalelementbildung auflösen. Aluminiumfolie nicht in
Verbindung mit stark säure- oder salzhaltigen Lebensmitteln
benutzen.“
Aufgabe
1. Stellen Sie eine Apparatur zur Schmelzflusselektrolyse
mithilfe einer beschrifteten Skizze dar. Geben Sie die
Reaktionsgleichungen für die Vorgänge an den Elektroden, die
Gesamtgleichung zur Bildung des Aluminiums und die
Reaktionsgleichungen für die Entstehung der Abgase an.
Berechnen Sie die Masse an Aluminium, die die beschriebene
Anlage pro Stunde erzeugen kann.
2. Erläutern Sie, auch
unter Angabe der Teil- und Gesamtreaktionsgleichungen, warum
laut Warnhinweis Alufolie nicht in Verbindung mit
säurehaltigen Lebensmitteln benutzt werden soll. Erklären
Sie, warum man die Reaktion zwischen der Alufolie und sauren
Lebensmitteln im Alltag in der Regel nicht beobachten kann.
3. Stellen Sie ein Lokalelement, das sich bei der Verwendung
von Alufolie zur Abdeckung einer feuchten, salzhaltigen
Speise auf einem Silbertablett bildet, mithilfe einer
beschrifteten Skizze dar. Erläutern Sie, auch unter Angabe
der entsprechenden Reaktionsgleichungen, welche Prozesse in
einer solchen Anordnung ablaufen und warum es zur Auflösung
der Folie kommen kann.
Zusatzinformation
Faradaykonstante: F = 96485 C*mol-1 =
96485A*s*mol-1
Molare Masse: M(Al) = 27,0 g/mol
Ein
Lokalelement ist im Prinzip ein kleines galvanisches
Element, bei dem die beiden Metallelektroden durch
unmittelbaren Kontakt miteinander verbunden sind.
Elektrochemische Spannungsreihe
Standardpotentiale
in V (c = 1 mol/L, bei 25 °C und 101,3 kPa)
| 1. | Al / Al3+ | -1,66 |
| 2. | Zn / Zn2+ | -0,76 |
| 3. | Fe / Fe2+ | -0,41 |
| 4. | Ni / Ni2+ | -0,23 |
| 5. | Sn / Sn2+ | -0,15 |
| 6. | H2 / 2H3O+ | 0,00 |
|---|---|---|
| 7. | Cu / Cu2+ | 0,35 |
| 8. | 4OH- / O2 | 0,4 |
| 9. | Ag / Ag+ | 0,8 |
A 2: Äpfel als Aromalieferanten
Vorgabe:
Äpfel werden in großen Mengen zu Apfelsaft
weiterverarbeitet. Bei der Apfelsaft-Produktion gehen die
wasserlöslichen Inhaltsstoffe der Äpfel in den Saft über,
während die in Wasser nahezu unlöslichen Verbindungen
weitgehend im Produktionsabfall verbleiben.
Tabelle:
Inhaltsstoffe in reifen Äpfeln der Sorte Cox Orange
(Auswahl)
Aufgabe:
1. Geben Sie für die in der Tabelle angegebenen
Apfel-Inhaltsstoffe C, D, E und F die Bezeichnungen nach der
systematischen Nomenklatur an. Erläutern Sie mithilfe von
Oxidationszahlen, dass die Verbindung D ein
Reduktionsprodukt der Verbindung C ist. Beurteilen Sie,
welche der Apfel Inhaltsstoffe aus der Tabelle in klarem
Apfelsaft gelöst enthalten sind.
2. Geben Sie
Strukturformeln für drei verschiedene Ester an, die als
Aromastoffe in einem Apfel der Sorte Cox Orange vorkommen
können. Beschreiben Sie die charakteristischen Schritte
einer Ester-Synthese. Beurteilen Sie, ob die Zusammensetzung
des Aromastoff-Gemisches in einem Kochansatz für
Apfel-Rotkohl im Hinblick auf die gebildeten Ester durch den
Garvorgang verändert werden kann.
3. Erläutern Sie die
charakteristischen Schritte einer Synthese von 1-Brombutan
aus Butan-1-ol. Beurteilen Sie die Eignung von n-Butan
und But-1-en als Edukte für die Synthese von 1-Brombutan.
Zusatzinformation:
Löslichkeit des Apfel-Inhaltsstoffes F in Wasser (bei 20 °C): 0,6 g / 100 g Wasser
A 3: Mauvein - der erste synthetische Farbstoff
Vorgabe:
1856 war der erst 18-jährige Engländer William Henry Perkin auf der Suche nach einer Synthese des Malariamittels Chinin. Durch Zufall entdeckte er dabei einen purpurvioletten Farbstoff: Mauvein.
Ausgangsstoffe für die Synthese von Mauvein sind neben Anilin ortho- und para-Toluidin, die in zwei Reaktionsschritten hergestellt werden.
Im ersten Schritt erhält man durch Nitrierung von Toluol
ortho- und para-Nitrotoluol. Das reaktive Teilchen (NO2+)
für die Nitrierung wird hierbei aus Salpetersäure in
Gegenwart von Schwefelsäure gebildet. Im zweiten Schritt
erhält man dann die für die Mauveinsynthese benötigten
Toluidine durch Umsetzung mit Eisen und Salzsäure.
Färbeversuche mit Mauvein auf Seide waren für damalige
Verhältnisse äußerst erfolgreich und führten, im Gegensatz
zu den bis dahin verwendeten natürlichen Farbstoffen, zu
leuchtend und bleibend gefärbten Stoffen. Baumwolle ließ
sich zwar mit Mauvein einfärben, die Farbe verblieb nach dem
Waschen jedoch nicht auf der Faser.
Aufgabe:
1. Erklären Sie den Zusammenhang zwischen Struktur und
Farbigkeit am Beispiel der Struktur des Mauvein-Kations.
Zeichnen Sie dazu eine weitere mesomere Grenzstruktur. Geben
Sie einen Bereich für das erwartete Absorptionsmaximum
begründet an.
2. Erläutern Sie die Reaktionsschritte zur
Herstellung von ortho- und para-Toluidin ausgehend von
Toluol, auch anhand von Reaktionsgleichungen. Begründen Sie
den Ort der Nitrierung. Begründen Sie mithilfe von
Oxidationszahlen, warum es sich bei der Umsetzung von
Nitrotoluol mit Eisen und Salzsäure um eine Reduktion von
Nitrotoluol handelt.
3. Erläutern Sie anhand einer Skizze
unter Verwendung einer vereinfachten Strukturformel des
Mauvein-Kations, welche zwischenmolekularen Bindungen
zwischen dem Farbstoff und der Seidenfaser ausgebildet
werden können. Begründen Sie, warum eine Haftung auf
Baumwolle nur sehr begrenzt möglich ist.
Zusatzinformation:
Stark vereinfachte schematische Darstellung eines Struturausschnittes
a) von Seidenfasern
b) von Baumwollfasern
Zusammenhang von absorbierter Strahlung, zugehöriger Spektralfarbe und beobachteter Komplementärfarbe
| Wellenlänge λ in nm | Spektralfarbe | Komplementärfarbe |
|---|---|---|
| 400 - 435 | violrtt | gelbgrün |
| 435 - 480 | blau | gelb |
| 480 -490 | grünblau | orange |
| 490 - 500 | blaugrün | rot |
| 500 - 560 | grün | ourpur |
| 560 - 580 | gelbgrün | violett |
| 580 - 595 | gelb | blau |
| 595 - 605 | ornage | grünblau |
| 605 770 | rot | balugrün |
A 4: Zahnbürsten aus den Kunststoffen PP, PA 612 und SBS
Vorgabe:
Für die Fertigung handelsüblicher Zahnbürsten werden
verschiedene Kunststoffe eingesetzt.
Zahnbürstengriffe
werden häufig aus Polypropen produziert. Polypropen kann
durch Polymerisation von Propen hergestellt werden. In
kunststoffverarbeitenden Betrieben erfolgt die
thermoplastische Verformung von Polypropen-Granulat zu
Zahnbürstengriffen. Derartige Griffe enthalten im Kopf ein
Lochmuster, in das die Borsten eingesetzt werden.
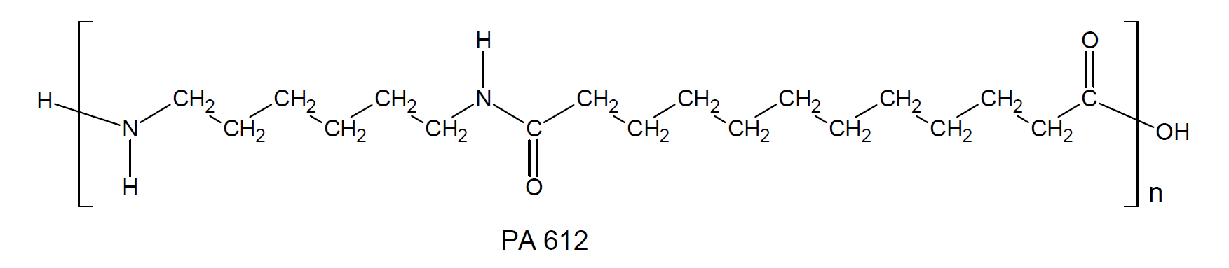
Als
Borstenmaterial wird u. a. ein Kunststoff mit der
Bezeichnung PA 612 verwendet. PA 612 wird aus
1,6-Diaminohexan und Dodecandisäure hergestellt.
Um die Handhabung zu verbessern, wird im Zahnbürstengriff häufig eine gummiartige Griffleiste aus einem sogenannten thermoplastischen Elastomer eingepasst. Derartige Griffleisten können zum Beispiel aus den Monomeren Styrol und Buta-1,3-dien durch Polymerisati n zu sogenannten SBS-Dreiblockcopolymeren hergestellt werden. Diese bestehen aus zwei Polystyrol-Blöcken und einem Polybutadien-Block. Bei der Polymerisation von Buta-1,3-dien zu Polybutadien reagiert eine Doppelbindung pro Monomer-Molekül, sodass im Polybutadien-Block dann eine Kohlenstoff-Kohlenstoff-Doppelbindung pro Grundbaustein enthalten ist.
Zur Verbesserung der Gebrauchseigenschaften können Dreiblockcopolymere mit hydrierten Polybutadien-Blöcken synthetisiert werden (sogenanntes hydriertes SBS). In diesem Kunststoff aus hydriertem SBS beruht die Vernetzung der Makromoleküle auf Anziehungskräften zwischen nebeneinanderliegenden Polystyrol-Blöcken:
Aufgabe:
1. Geben Sie ein Reaktionsschema für die Polymerisation
von Propen an. Erklären Sie den Begriff „Thermoplast“ am
Beispiel von Polypropen. Erläutern Sie auf molekularer Ebene
die Vorgänge der Weiterverarbeitung von Polypropen-Granulat
zu Zahnbürstengriffen.
2. Entwickeln Sie eine
Reaktionsgleichung für die Synthese von PA 612. Geben Sie
hierzu begründet den Reaktionstyp sowie die Stoffklasse von
PA 612 an. Erläutern Sie die Gebrauchseigenschaften
einschließlich der Alterungserscheinungen von
Zahnbürstenborsten aus PA 612 anhand der Molekülstruktur.
3. Entwickeln Sie einen charakteristischen
Strukturformel-Ausschnitt für SBS-Dreiblockcopolymere.
Erklären Sie, welche Wechselwirkungen zwischen
SBS-Makromolekülen bestehen. Begründen Sie die elastischen
Gebrauchseigenschaften von Griffleisten aus hydriertem SBS.
Zusatzinformation:
Granulat: gekörntes Material
Formeln:
Hydrierung von Polybutadien-Blöcken: Addition von Wasserstoff an Kohlenstoff-Kohlenstoff-Doppelbindungen.
Lösung(13)